近日,我院2017级博士研究生罗照阳(导师:孔俊教授)在《Journal of Hydrology》上发表了题为“Evaluation and application of the modified van Genuchten function for unsaturated porous media”的学术论文,该研究是继孔俊教授团队在土壤非饱和流研究领域的又一重要成果。
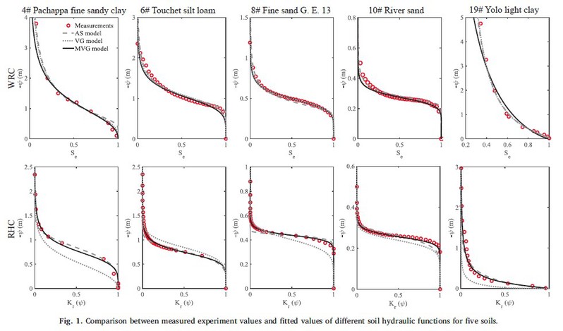
土壤特征函数(Soil hydraulic functions)是描述土壤水力学性质的函数,包括持水特征曲线(Water retention curve,记为WRC)和相对渗透系数函数(Relative hydraulic conductivity,记为RHC)两部分。准确描述土壤特征函数是量化非饱和流作用的关键。本研究评估和验证了一个改进的土壤特征函数模型(MVG),该模型的WRC和RHC表达式都基于van Genuchten提出的WRC表达式得到。通过与27种土的实测数据和现有其它模型的预测结果对比发现,该MVG模型比现有其它模型更为准确和灵活,特别是对于预测RHC。而且,通过实验数据进一步得到了MVG-WRC和WVG-RHC模型参数之间的关系式,进而利于MVG模型的使用。此外,利用MVG-WRC和MVG-RHC表达式可积可导的性质,本研究还推求了降雨入渗时湿润峰压力和土壤特征长度的解析表达式。
审稿专家之一van Genuchten教授(论文总引用次数超过7万次,单篇引用最高21428次,h指数102)评价该研究成果“I view this as a very nice contribution”。
该研究得到江苏省海岸海洋资源开发与环境安全重点实验室的大力支持。根据中科院JCR期刊分区数据,《Journal of Hydrology》(影响因子3.73)属一区TOP刊物。

图1 模型预测结果对比图

图2误差对比图

